在线网校!

学习乐园-网校学习乐园

当前位置: 主页 > 建筑类考试 > 质量工程师 >

质量工程师考试知识点:概率基础知识

第一章 概率统计基础知识 引言 在产品的整个生命周期的各个阶段,所有过程的运行和结果中均可观察到变异,提高质量的途径便是持续地减少变异,一致满足顾客的要求。而统计技术可以帮助我们对观察到的变异进行测量、描述、分析、解释和建模,更好理解变异的性

第一章 概率统计基础知识
引言
在产品的整个生命周期的各个阶段,所有过程的运行和结果中均可观察到变异,提高质量的途径便是持续地减少变异,一致满足顾客的要求。而统计技术可以帮助我们对观察到的变异进行测量、描述、分析、解释和建模,更好理解变异的性质、程度和原因,从而有助于解决、甚至防止由变异引起的问题,并促进持续改进。作为质量工作者,要想更好地了解有关的统计技术并运用到实践活动中,就需要掌握必要的概率统计知识。
第一节 概率基础知识

1.掌握随机现象与事件的概念
2.熟悉事件的运算(对立事件、并、交与差)
3.掌握概率是事件发生可能性大小的度量的概念
4.熟悉概率的古典定义及其简单计算

东方升起,就是确定性现象l0否则是随机现象,如某台设备的故障时间、一天进入某超市的顾客等。
认识一个随机现象首先要知道它的一切可能发生的基本结果。这里的基本结果称为样本点,随机现象一切可能样本点的全体称为这个随机现象的样本空间,常记为Ω。
(二)随机事件
随机现象的某些样本点组成的集合称为随机事件,简称事件,常用大写字母A,B,C等表示。
1.随机事件的特征
(1)任一事件A是相应样本空间Ω中的一个子集。在概率论中常用一个长方形示意样本空间Ω。
用其中一个圆示意事件A,如图1—1所示,我们称之为维恩(Venn)图。维恩图是基础也很重要,在考试中我们可以利用其帮助解决事件的运算问题。

(2)事件A发生当且仅当A中某一样本点发生。只要A中某个样本点发生,事件A便发生。
(3)事件A的表示可用集合,也可用语言,但所用语言必须是准确无误的。
(4)任一样本空间Ω都有一个最大子集,这个最大子集就是Ω,它对应的事件称为必然事件,仍然用Ω表示。
(5)任一样本空间Ω都有一个最小子集,这个最小子集就是空集,它对应的事件称为不可能事件,记为φ。
2.随机事件之间的关系
在一个随机现象中常会遇到许多事件,它们之间有下列三种关系。
(1)包含:在一个随机现象中有两个事件A与B,若事件A中任一个样本点必在事件B中,则称事件A被包含在事件B中,或事件B包含事件A,
如图l-2所示。这时事件A发生必然导致事件B发生。
(2)互不相容:在一个随机现象中有两个事件A与B,若事件A与B没有相同的样本点,则称事件A与B互不相容。互不相容事件不可能同时发生,如图1—3所示。
这种互不相容可以推广到三个或更多事件的互不相容。
(3)相等:在一个随机现象中有两个事件A与B,若事件A与B含有相同的样本点,则称事件A


(三)事件的运算
1.四种事件的运算
(1)对立事件的运算:在一个随机现象中,Ω是样本空间,A为事件,由Ω中而不在A中的样本


(2)事件并的运算:由事件A与B中所有的样本点(相同的只计人一次)组成的新事件称为A与B并,记为A∪B。如图1—5所示。并事件A∪B发生意味着“事件A与B中至少有一个发生”。

(3)事件交的运算:由事件A与B中公共的样本点组成的新事件称为事件A与B的交,记为A∩B或AB如图1-6所示。交事件A∩B发生意味着“事件A与B同时发生”。

注:事件的交和并可推广到更多个事件的情形。

(4)事件差的运算:由属于事件A而不属于事件B的样本点组成的新事件称为A对B的差,记为A-B,表示事件A发生而事件B不发生的事件。如图1-7所示。显然,B-A表示B对A的差,一般A-B≠B-A。

2.事件的运算性质
事件的运算具有如下性质。

以上的性质我们没有必要死记硬背,我们可以利用维恩图判断其正误。可用维恩图把这些性质推广到更多个事件运算上去。
(四)概率
所谓概率,就是事件发生可能性大小的度量。
概率是一个介于0到1之间的数,因为可能性都是介于0%到l00%之间的。概率愈大,事件发生的可能性就愈大;概率愈小,事件发生的可能性就愈小。
特别地,不可能事件的概率为0,必然事件的概率为1,即P(φ)=0,P(Ω)=1。
二、古典概率的定义与统计定义
(一)概率的古典定义
用概率的古典定义确定概率的方法的要点如下:
(1)所涉及的随机现象只有有限个样本点,设共有l/个样本点;
(2)每个样本点出现的可能性相同(等可能性);
(3)若被考察的事件A含有k个样本点,则事件A的概率为

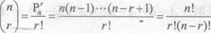
(二)排列与组合
用古典方法求概率,经常需要用到排列与组合的公式。本书对此作以下简单的复习。
(1)乘法原理:如果做某件事需经k步才能完成,其中做第一步有m1种方法,做第二步m2种方法,…,做第k步有mk种方法,那么完成这件事共有m1×m2 ×…×mk种方法。
(2)加法原理:如果做某件事可由k类不同方法之一去完成,其中在第一类方法中又有m1种完成方法,在第二类方法中又有m2种完成方法,…,在第k类方法中又有mk种完成方法,那么完成这件事共有m1+m2+…+mk种方法。
(3)排列与组合的定义及其计算公式如下。
①排列:从n个不同元素中任取r(r≤n)个元素排成一列称为一个排列。按乘法原理,此种排列共

②重复排列:从n个不同元素中每次取出一个作记录后放回,再取下一个,如此连续取r次所得

③组合:从n个不同元素中任取r(r≤n)个元素并成一组(不考虑他们之间的排列顺序)称为一个组合,此种组合数为


等同的。
排列和组合的主要区别是看是否讲究各元素的次序,讲究次序是排列,否则是组合。这一点在做题时要首先区分开。

(三)概率的统计定义
概率的统计定义的要点如下:
(1)与事件A有关的随机现象是可以大量重复试验的;
(2)若在n次重复试验中,

则事件A发生的频率为


这个频率的稳定值就是事件A的概率。
在实际中人们无法把一个试验无限次地重复下去,只能用重复试验次数刀较大时的频率去近似表示概率。
三、概率的性质及其运算法则
(一)概率的基本性质及加法法则
根据概率的上述定义,可以看出它具有以下基本性质。
性质l:概率是非负的,其数值介于0与1之间,即对任意事件A,有
0≤P(A)≤1
特别地,不可能事件的概率为0,必然事件的概率为1,即
P(φ)=0,P(Ω)=1


P(A-B)=P(A)-P(B)
性质4:事件A与B的并的概率为

这个性质称为概率的加法法则。特别地,若A与B互不相容,即
若P(AB)=P(φ)=0,则


(二)条件概率及概率的乘法法则
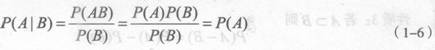
条件概率涉及两个事件A与B,在事件B发生的条件下,事件A发生的概率称为条件概率,记为P(A|B)。条件概率的计算公式为

为了帮助理解,我们用图1-8来说明式l-3中各符号的含义:P(B)是事件B的面积除以样本空间的面积,P(AB)是图中的阴影部分的面积除以样本空间的面积,P(A | B)是阴影部分的面积除以事件B的面积。

注:①P(B)=0时,条件概率无意义(即条件不能是不可能事件)。
②P(A|Ω)=P(AΩ)/P(Ω)=P(A)(即P(A)是特殊的条件概率)。
式(1-3)表明:条件概率可用两个特定的(无条件)概率之商来计算,在举例说明之前,先导出概率的乘法公式。
性质6:对任意两个事件A与B有
P(AB)=P(A | B)P(B)=P(B |A)P(A)(1-4)
其中第一个等式要求p(B)>0,第二个等式要求P(A)>0。这一性质可以从图1-8中很容易看出。
(三)独立性和独立事件的概率
设有两个事件A与B,假如其中一个事件的发生不影响另一个事件的发生与否,则称事件A与B相互独立。
性质7:假如两个事件A与B相互独立,则A与B同时发生的概率为
P(AB)=P(A)P(B)(1-5)
两个事件的相互独立性可以推广到三个或更多个事件的相互独立性。
性质8:假如两个事件A与B相互独立,则在事件B发生的条件下,事件A的条件概率P(A| B)等于事件A的(无条件)概率P(A),这是因为

2013年质量工程师考试辅导全科VIP班 讲师 课时 原价 优惠价 试听 报名
质量专业(初级)全科VIP班(含两科目精讲+冲刺+习题+应试技巧班) 杨世东等 151 ¥700 ¥600 免费体验
质量专业(中级)全科VIP班(含两科目精讲+冲刺+习题+应试技巧班) 姚方伟等 184 ¥800 ¥700 免费体验
2013质量工程师考试辅导全科套餐班 讲师 课时 原价 优惠价 试听 报名
质量专业(初级)全科套餐班(含两科目精讲+冲刺+习题) 杨世东等 147 ¥700 ¥400 免费体验
质量专业(中级)全科套餐班(含两科目精讲+冲刺+习题) 姚方伟等 180 ¥800 ¥500 免费体验
2013年质量工程师考试辅导精讲班 讲师 课时 原价 优惠价 试听 报名
质量专业相关知识(初级)精讲班 杨世东 40 ¥400 ¥200 免费体验
质量专业基础理论与实务(初级)精讲班 朱迅德 40 ¥400 ¥200 免费体验
质量专业综合知识(中级)精讲班 姚方伟 40 ¥400 ¥200 免费体验
质量专业理论与实务(中级)精讲班 张斌 80 ¥500 ¥300 免费体验
2013年质量工程师考试辅导冲刺班 讲师 课时 原价 优惠价 试听 报名
质量专业相关知识(初级)冲刺班 杨世东 24 ¥200 ¥100 免费体验
质量专业基础理论与实务(初级)冲刺班 朱迅德 22 ¥200 ¥100 免费体验
质量专业综合知识(中级)冲刺班 姚方伟 20 ¥200 ¥100 免费体验
质量专业理论与实务(中级)冲刺班 张斌 20 ¥200 ¥100 免费体验
2013年质量工程师考试辅导习题班 讲师 课时 原价 优惠价 试听 报名
质量专业相关知识(初级)习题班 杨世东 11 ¥100 ¥50 免费体验
质量专业基础理论与实务(初级)习题班 朱迅德 10 ¥100 ¥50 免费体验
质量专业综合知识(中级)习题班 姚方伟 10 ¥100 ¥50 免费体验
质量专业理论与实务(中级)习题班 张斌 10 ¥100 ¥50 免费体验
(责任编辑:学习乐园)
------分隔线----------------------------